- 服务热线:13506714833,153330079473
- 联系邮箱:953628464@qq.com
- 公司地址:浙江省杭州市萧山区建设一路1027号华瑞中心1号楼1206室
微信联系
杭州云染化工有限公司 版权所有(C)2024 网络支持 生意社 化工网 生意宝 著作权声明 浙ICP备2024134383号
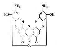
答:直接和硫化是两类性质完全不同的染料,严格来讲,至今尚无一种直接黑的色泽完全和硫化黑相似。最近笔者连续接到几只咨询电话,问是否有一种直接黑,染在全棉纺织品上的色泽,主要是指乌黑度和硫化染料相似?据说是由于环保的原因,不能应用硫化黑染料。但据文献⑴记载,硫化黑确切的化学结构尚不完全清楚。现在市售的硫化黑,大致有这样3种结构式的混合物,即:
1、 硫化温度在103~105℃时的结构为:
.jpg)
2、硫化温度在110℃以下时结构为:
.jpg)
3、硫化温度在110℃以上时结构为:

注::以上各式中x=2~7
由此可见,硫化黑染全棉纺织品的色泽乌黑度是特殊的,确实是无法取代的,尤其是经过丝光的棉纺织品上则更佳。但事实应用硫化黑的三废严重,且难处理。有些地方虽明文规定:不准使用!且屡禁不止。笔者曾经看到过吳江云染化工、云染染料化工厂的一份“直接耐晒黑GGF的应用说明”据介绍该染料无论是色泽与牢度等方面均与硫化黑近似。为此,笔者作了一些了解和实践,据该厂反映,近年来直接耐晒黑GGF的销量居高不下,唯利润很薄;但该染料可取代硫化黑也是在用户的启发下,如铜狮漂染有限公司两年前在T/C(65∶35)混纺织物上就利用该染料套棉组份,並经阳荷性固色剂处理,色泽和牢度基本上都达到了硫化黑水平;另外,笔者还亲自应用该染料染了一块漂白细凡布,虽色泽的乌黑度確实不错,但经一般固色剂处理, 皂洗牢度还稍逊于硫化黑。实践说明,选用云染化工、云染染料化工厂生产的直接黑GGF如果在色泽方面要与硫化黑近似,那么,在应用技术上还有一些值得探讨的问题。
首先,说实话在纤维素纤维上要染得乌黑色,除硫化和一些禁用、高价的染料外,也只有直接黑了。实践证明,目前常用的活性黑,甚至还原黑,如果整个染色工艺没有到位,色牢度和颜色的乌黑度也同样难以达到硫化黑那样的水平。
其次,直接黑GGF要染得乌黑,还须按下列的染色工艺曲线图:

注:加料①系螯合皂洗剂YX-178 1~2g/L,加入后让织物处理10min,弥補一下前处理的不足,如进一步去除浆料和杂质,提高毛效,改善匀染性。②染料,用量一般8~10%(o.w.f.)先用热水溶解,再经稀释缓慢加入,染色10min左右,再加入③元明粉(Na2SO4)10~15g/L,人造纤维素纤维,如粘胶纤维可少些,並以1℃/min的速度升温至规定温度,染色30min左右,再加入④纯碱(Na2CO3)2~4g/L,续染20~30min,对色、纠正色光或水洗、出缸。
由此可见,笔者对该染料的染色方法是不同于常用的直接染料染色方法的。如4040/13372全棉府绸半漂坯布按上述工艺进行染色试验,经测配色仪测定,在波长500mm时的K/S值为24.23,而在同等条件下染色,不加纯碱的仅为21.84,目测显得青光,得色也要浅10%以上。采用品质较好的固色剂处理,用量为4%(O.W.F.)+98%醋酸1ml/L,45℃处理30min后的各项色牢度基本能达到(级):日晒5~6、40℃耐洗,退色4级,白沾4~5、汗渍,退色4~5,白沾4~5级、摩擦(干)4级(湿)2~3级。但必须说明,绒类织物或釆用廉价的劣质固色剂,色牢度要低0.5~1级,特別是湿摩擦牢度。
最后,谈几点体会
⑴实践证明,经过丝光的全棉纺织品不仅染料的实际用量比不经丝光过的可节省20%左右,元明粉和纯碱的用量也可减少1/3,而且色泽也显得乌黑亮丽有光泽。
⑵固色剂处理是非常必要的。固色浴中加入醋酸既可防止阳荷性固色剂的阻聚作用,提高固色效果,同时还能中和染物上残留的碱剂,使染物整体保持中性。如染色后需要釆用固色剂处理的,必须充分清洗,越洗得干净,固色效果越好。必须指出,市场上只有低甲醛的固色剂,没有无甲醛固色剂的,所以如果外销产品,就得控制甲醛含量在允许范围以内。
⑶黑色虽属深浓色泽,但也经常会发生色花,所以不仅染色工艺要按上述曲线控制,而且在加入染料和元明粉之前织物应先在加有2g/L螯合皂洗剂YX-178的浴中处理10~15min,它既具有软水作用,又能使被染物得到进一步的净化,实践证明,对改善匀染性是非常有效的。直接黑GGF可以这样做,对其他直接性高,溶解度差容易产生色花的染料都可以这样做,实践证明是行之有效的。
⑷应用直接黑GGF染纤维素纤维的保温时间一般不能少于60min,有时甚至还可适当再延长15min,尤其对人造纤维素纤维,如粘胶和未经丝光的棉等,只有保证足够的染色时间,才能从理论上达到动态平衡,也才能水洗得干净。混纺交织物稍许要好多一点。