- 服务热线:13506714833,153330079473
- 联系邮箱:953628464@qq.com
- 公司地址:浙江省杭州市萧山区建设一路1027号华瑞中心1号楼1206室
微信联系
杭州云染化工有限公司 版权所有(C)2024 网络支持 生意社 化工网 生意宝 著作权声明 浙ICP备2024134383号
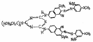
答:笔者亲自也曾遇到过这种疵病的产生,并且还看到,听到发生在人家厂里的这种疵病。实际上这种疵病是织物在卷染机上染色后,含水量过高就直接到烘筒(锡林)上去烘干而使染着在织物上的染料产生泳移所致。因为直接混纺(D-型)染料的化学分子结构通常比其它直染料的分子结构要大得多,它在分子结构中主要有三嗪环的存在(图1),所以前者的色牢度要比后者显著提高(表1),实验说明,图1中两只染料在完全相同的深度和工艺条件下进行染色,结果前者虽然色泽鮮艳,但得色率仅为后者的66.287%,这充分说明要提高分散环保NP系列的得色率是要相应延长保溫染色时间,尽量在染色过程中让具有立体结构的染料分子和线形的纤维素纤维有更多的结合几率,从而提高得色,达到动态平衡。从理论上讲,直接(混纺)染料与棉纤维的结合有许多机理,但主要是范德华力和氢键结合力,纤维素纤维的主价键的键能为50千卡/克分子,而氢键的键能一般是4~10千卡/克分子;范德华力的引力及电荷的替代其作用是非常重要的。換句话说,在染浴中加入一定数量的电介质(NaCL、Na2SO4)对促使染料上染是至关重要的,否则,既不能体现出分散环保NP系列的优越性,如果再加之水洗不净,浮色较多是很容易在烘干过程中产生色花的。此外,实践还证明,可以采取以下措施得到避免:
直接混纺大红D-F2G(红C.I. 224 ) 直接耐酸大红4BS(红C.I.23)

|
两只直接大红的色牢度对照表
|
|||||
|
染料
|
染色深度
|
日晒
|
耐洗(40℃)
|
汗渍
|
摩擦干/湿
|
|
混纺大红D-F2G
|
1.0%(o.w.f.)
|
4
|
4~5
|
3~ 4
|
4/3
|
|
耐酸大红4BS
|
1.0%(o.w.f.)
|
2~3
|
3~4
|
3~4
|
3/2
|
注:表内数据是根据吴江云染化工、云染染料化工厂色卡,供参考)
1,在烘筒前可装置真空吸水管减少染物进入烘筒的含水量。如果染色(固色)结束是采取直接上烘筒(锡林)或在单辊筒、双辊筒整理車上干燥的话,这样虽劳动强度轻,作业顺畅快速,但由于织物上含水量过高,因此,有许多颜色容易产生泳移而导致返工。为了避免这种现象的产生,则可在烘筒或整理車前装置一根Φ8~10cm的真空吸水管,洞空Φ0.5`~1mm之间从而让织物先经过此管抽掉大量水份,然后进入烘筒,这样就可避免由于织物上含水量过高而产生泳移。另外则可调节烘筒的温度防止疵病,如在第1、2、3只烘筒上的温度可采取70、80、90、100℃逐个上升至150℃,让含水量过高的染物不瞬间接触温度很高的辊筒,实践证明,这样在一定程度上是可予以避免的。现在还有些单位是直接在热定形机上进行烘干、拉幅。由于在热定形机前还要在轧車上通过固色剂/柔软剂的处理,染物在两边的针板或夹子上拉住,悬空进行热风干燥的,这样虽不象在辊筒干燥,颜色泳移的现象是没有了,但烘干的结果往往却产生了另一个问题,即织物的回缩率大了,尤其在20℃以上,相对湿度超过65%的雨季和黄梅天,这个问题就显得突出,避免这种情况一般有三种方法①烘干时的门幅适当放宽3~5cm;②車速不能超过25m/min,这样干燥相对稳定,反之,机内温度很高,車速很快,这样的回缩稳定性当然很差, 就象涤纶的热定形一样道理,即没有定煞!③织物的烘干要循序加温,目的不单是为颜色泳移,因为纤维,尤其是经过丝光的棉和粘胶纤维的吸水性强,所以要使它真正达到干燥是需要从低温至相当的高温的过程,否则外干內潮,就会导致落布后的收缩。
2,有时要将染物倒出来经过脱水机脱干再经烘干。这是一种比较麻烦的作业方法:即把染物从卷轴上一疋一疋地倒出来,经脱水机脱干(一般越干越好), 然后再缝头去上烘筒,但缝头时须注意整个一轴或若干轴颜色一样的染物都要保持正反面统一,不能正反两相颠倒,避免造成色泽上的差异,尤其是斜纹织物。如果操作不慎已经出现正反颠倒,那么,需待第一次烘后,翻过来再烘一遍,这样能减轻色差程度。
3,适当延长保温染色时间,促进纤维空隙里的游离态染料有更多的几率成为吸附态染料而最终保持动态平衡。在卷染机上起码要微沸运转15~20道,大约需45~60nim(织物由薄至厚),同时,还要加入一定数量的电介质,必须指出:电介质果然重要,但加入过量,反而会把吸附态的染料变成游离态而从纤维上解吸出来,以致出现织物上的颜色反而不深,而残液中的颜色却很深浓。直接染料卷染例举:
织物:4040/13372纯棉府绸(经烧毛→丝光→退煮漂) 600m,重量80 Kg
设备:卷染机 M-125
色泽:淡蓝
处方%(o.w.f.)
|
直接混纺蓝D-4BL(铜罗)
|
0.35
|
|
净洗剂209
|
200g
|
|
NaCL(氯化钠)
|
4000g
|
工艺:浴比1∶4 ,40℃织物通过清水进机上卷,排液,进清水调整浴比, 加入净洗剂209,搅拌均匀后运转2道,把溶解好的染料一分为二分,分左右两边加入,边运转边升温至微沸(95~98℃之间),第1次加入NaCL(氯化钠)100g运转6道,第2次再加入NaCL300g,继续运转8~10道,校对标样,达到近似级后排除残液,进行流动水洗。
4,直接染料染色后一般都需经固色剂处理。40℃,加入阳荷性固色剂300~500 g醋酸50~100ml , 实践证明,也可用螯合分散剂SD-28(苏州联胜)取代,用量仅100g,它系非离子型助剂,不仅可以省去醋酸,更有优良的分散阻聚作用,而且对织物上残存的少量超标的重金属离子具有显著的螯合能力,同时由于它对电介质及酸、碱的稳定性好,对色泽的鲜艳度无影响,一改过去经固色剂处理色光多少偏暗趋向。处理时仅运转3道,带液上卷,应用直接(混纺)染料染色的织物经固色剂处理后,非但色牢度能提高0.5~1级,特别是在干燥工序中对已上染的染料还不易泳移,这就是完整的染色工程,最后下机进入干燥工序(具体方法参考本文1、2)。
(朱善长)